Длина образующей конуса равна 8 см. Угол при вершине равен 90 градусов . Вычислите объём конуса.
С рисунком желательно.
Ответы
Ответ дал:
1
Ответ:
Объяснение:
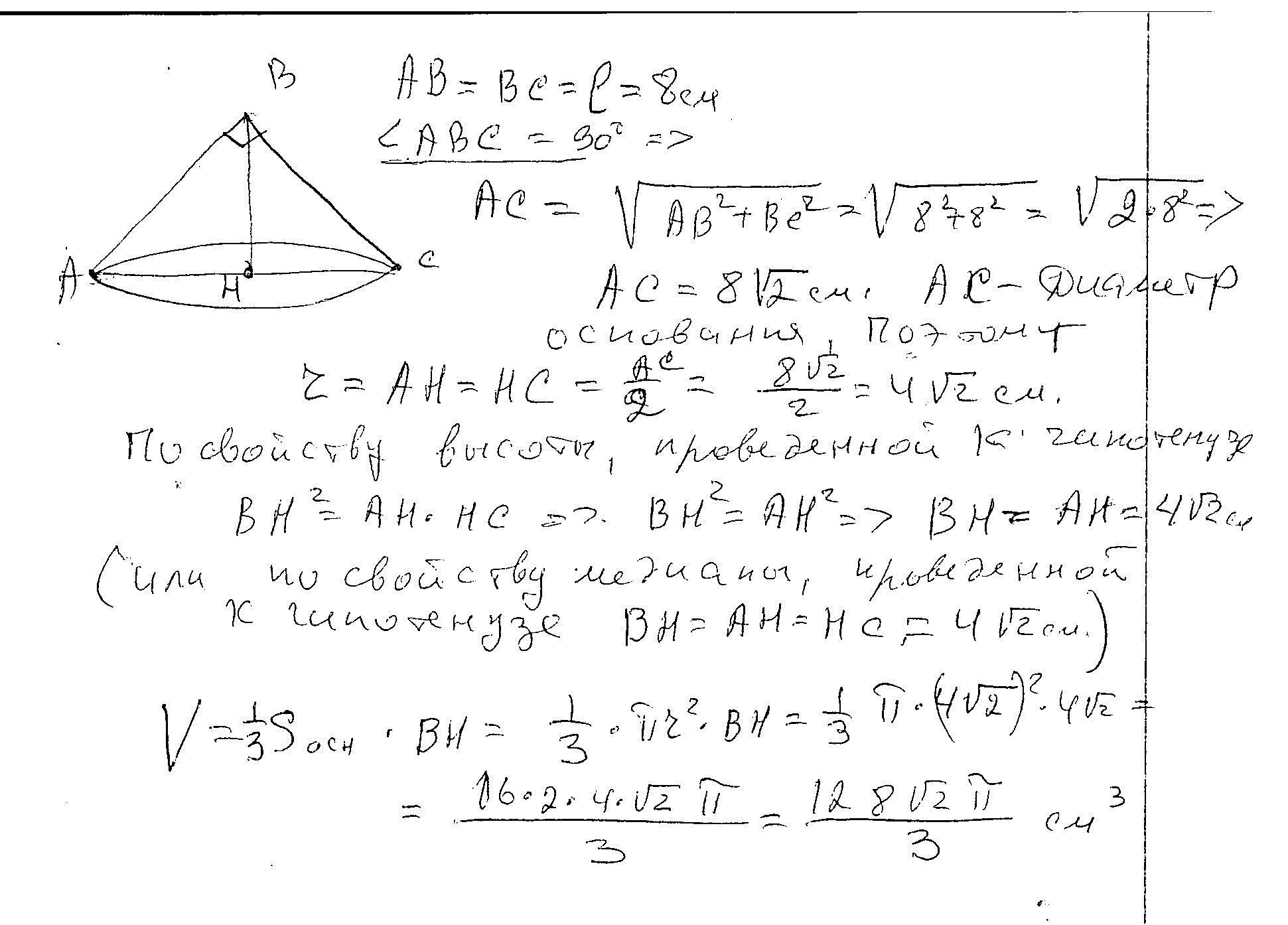
во вложении
Приложения:

Ответ дал:
1
Ответ:
128π√2/3 см³
Объяснение:
∆АВС- прямоугольный равнобедренный треугольник.
АС=АВ*√2=8√2 см диаметр.
АО=АС/2=8√2:2=4√2см радиус.
∆ABO- прямоугольный треугольник
Теорема Пифагора
BO=√(AB²-AO²)=√(8²-(4√2)²)=√(64-32)=
=√32=4√2 см высота конуса
V=⅓* Sосн*h=⅓*π*AO²*BO=
=⅓π*(4√2)²*4√2=128π√2/3 см³
Приложения:

Вас заинтересует
2 года назад
2 года назад
3 года назад
3 года назад
8 лет назад
8 лет назад
9 лет назад
9 лет назад