Ответы
Ответ дал:
8
Ответ:
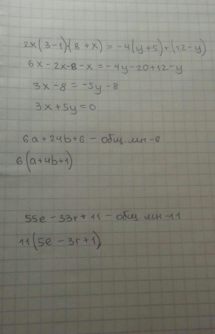
Решение на фотографии.
Надеюсь, помог :) Удачи!
Приложения:

Ответ дал:
0
Ответ:
2х*(3-1)-(8+х)=2х*2-8-х=4х-8-х=3х-8.
-4(у+5)+(12-у)=-4у-20+12-у=-5у-8.
6а+24b+6→общий множитель - "6".
55е-33r+11→общий множитель -" 11".
Вас заинтересует
2 года назад
2 года назад
3 года назад
3 года назад
8 лет назад
9 лет назад