• Предмет: Алгебра
  • Автор: polina02tokareva
  • Вопрос задан 8 лет назад

Упростить выражение,как можно подробнее,пожалуйста

Приложения:

Ответы

Ответ дал: NNNLLL54
2

Ответ:

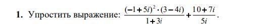
\boxed{\ i^2=-1\ }\\\\\\\displaystyle \frac{(-1+5i)^2\cdot (3-4i)}{1+3i}+\frac{10+7i}{5i}=\frac{(1-10i+25i^2)\cdot (3-4i)}{1+3i}+\frac{10+7i}{5i}=\\\\\\=\frac{-(10i+24)\cdot (3-4i)}{1+3i}+\frac{10+7i}{5i}=\frac{-(30i-40i^2+72-96i)}{1+3i}+\frac{10+7i}{5i}=\\\\\\=\frac{-(112-66i)}{1+3i}+\frac{10+7i}{5i}=\frac{-(112-66i)(1-3i)}{(1+3i)(1-3i)}+\frac{(10+7i)\cdot i}{5i\cdot i}=\\\\\\=\frac{-(112-336i-66i+198i^2)}{1-9i^2}+\frac{10i+7i^2}{5i^2}=\frac{402i+86i}{10}+\frac{10i-7}{-5}=

\displaystyle =\frac{402i+86}{10}-\frac{20i-14}{10}=\frac{382\, i+100}{10}=10+38,2\, i  

Вас заинтересует