Ответы
Ответ дал:
2
Ответ:
Объяснение:
примерно так:
Приложения:

Ответ дал:
2
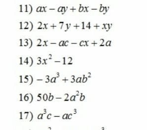
11) ax - ay + bx - by = (ax - ay) + (bx - by) = a(x - y) + b(x - y) = (x - y)(a + b)
12) 2x + 7y + 14 + xy = (2x + xy) + ( 14 + 7y) = x(2 + y) + 7(2 + y) = ( 2 + y)(x + 7)
13) 2x - ac - cx + 2a = (2a + 2x) - (ac + cx) = 2(a + x) - c(a + x) = (a + x)(2 - c)
14) 3x² - 12 = 3(x² - 4) = 3(x - 2)(x + 2)
15) - 3a³ + 3ab² = 3ab² - 3a³ = 3a(b² - a²) = 3a (b - a)(b + a)
16) 50b - 2a²b = 2b(25 - a²) = 2b(5 - a)(5 + a)
17) a³c - ac³ = ac(a² - c²) = ac(a - c)(a + c)
Аноним:
Благодарю!
Вас заинтересует
2 года назад
3 года назад
3 года назад
8 лет назад
8 лет назад
9 лет назад