• Предмет: Математика
  • Автор: xolodok33331
  • Вопрос задан 8 лет назад

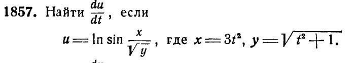
Найти du/dt, если, задача представлена в картинке ниже

Приложения:

Ответы

Ответ дал: Miroslava227
0

Формула:

 \frac{du}{dt}  =  \frac{du}{dx}  \times  \frac{dx}{dt}  +  \frac{du}{dy}  \times  \frac{dy}{dt}  \\

 \\\frac{du}{dx}  =  \frac{1}{ \sin( \frac{x}{ \sqrt{y} } ) }  \times   \cos( \frac{x}{ \sqrt{y} } )  \times  \frac{1}{ \sqrt{y} }  =  \\  =  \frac{1}{ \sqrt{y} } ctg( \frac{x}{ \sqrt{y} } ) \\  \\  \frac{du}{dy}  =  \frac{1}{ \sin( \frac{x}{  \sqrt{y} } ) }   \times \cos( \frac{x}{ \sqrt{y} } )  \times ( -  \frac{x}{2y \sqrt{y} } ) =  \\  =  -  \frac{x}{2y \sqrt{y} } ctg( \frac{x}{ \sqrt{y} } )

\\ \frac{dx}{dt}  = 6t

 \frac{dy}{dt}  =  \frac{1}{2 \sqrt{ {t}^{2}  + 1} }  \times 2t =  \frac{t}{ \sqrt{ {t}^{2} + 1 } } \\

собираем производную:

 \frac{du}{dt}  =  \frac{1}{ \sqrt{y} } ctg( \frac{x}{ \sqrt{y} } ) \times 6t  -  \frac{x}{2y \sqrt{y} } ctg( \frac{x}{ \sqrt{y} } ) \times  \frac{t}{ \sqrt{ {t}^{2} + 1 } }  \\

Вас заинтересует