• Предмет: Алгебра
  • Автор: nika121809
  • Вопрос задан 8 лет назад

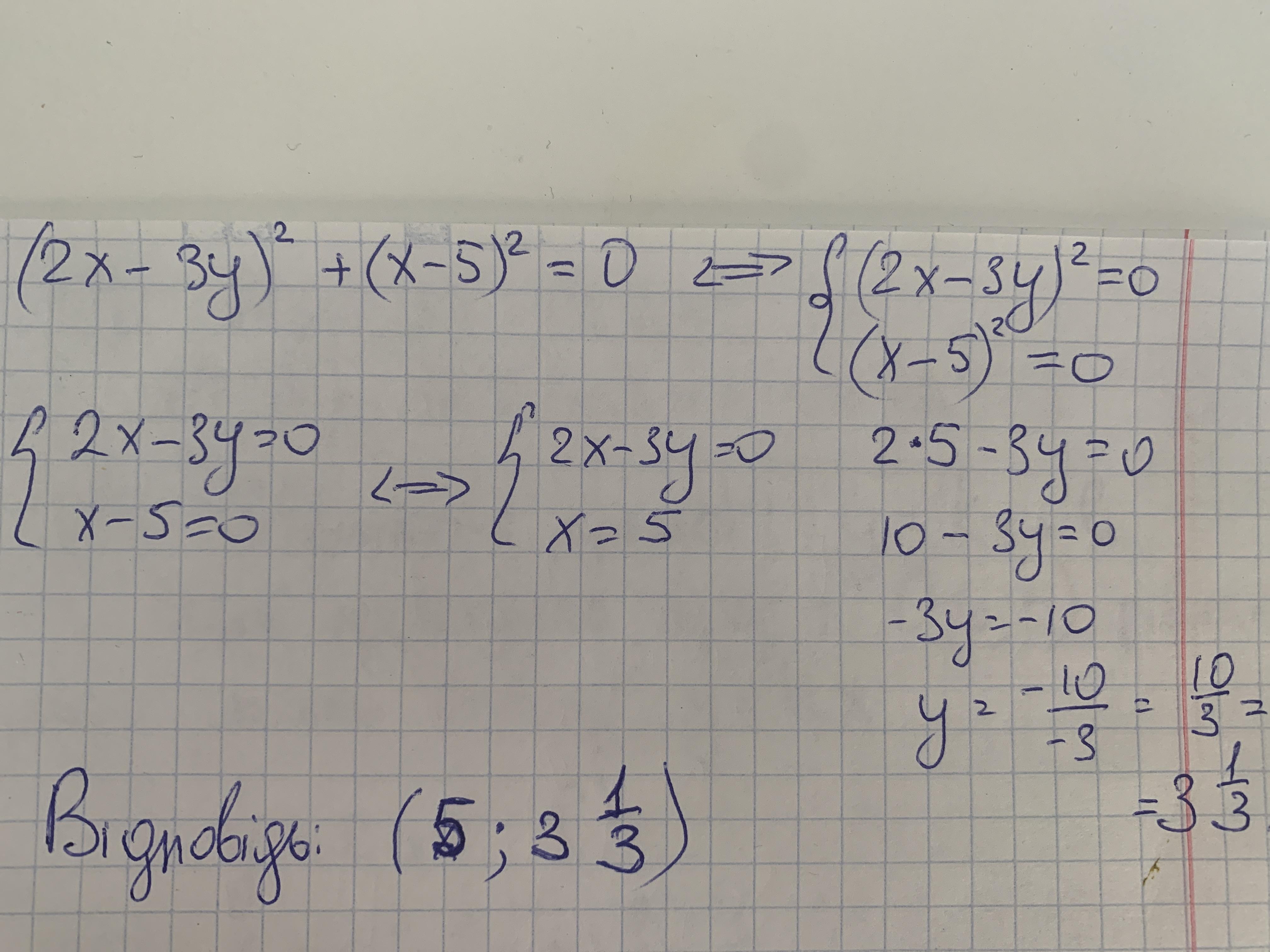
Розв'язати рівняння
(2x - 3y) ^{2}  + (x - 5) {}^{2}  = 0

Ответы

Ответ дал: katushadz
1

Відповідь:

(5;3 1/3)

Пояснення:

На фото

Приложения:
Ответ дал: sergeevaolga5
1

Ответ:

x=5; y=3\frac{1}{3}

Объяснение:

(2x-3y)^2+(x-5)^2=0\\\\\left \{ {{2x-3y=0} \atop {x-5=0}} \right.=>\left \{ {{2x-3y=0} \atop {x=5}} \right.=>\left \{ {{2*5-3y=0} \atop {x=5}} \right.=>\left \{ {{3y=10} \atop {xx=5}} \right.=>\left \{ {{y=3\frac{1}{3} } \atop {x=5}} \right.

Вас заинтересует