• Предмет: Алгебра
  • Автор: rokujine
  • Вопрос задан 8 лет назад

Нужно решение и правильный ответ, даю 50 баллов.
Алгебра 10 класс.

Приложения:

Ответы

Ответ дал: Sserikbaev
1

Ответ:

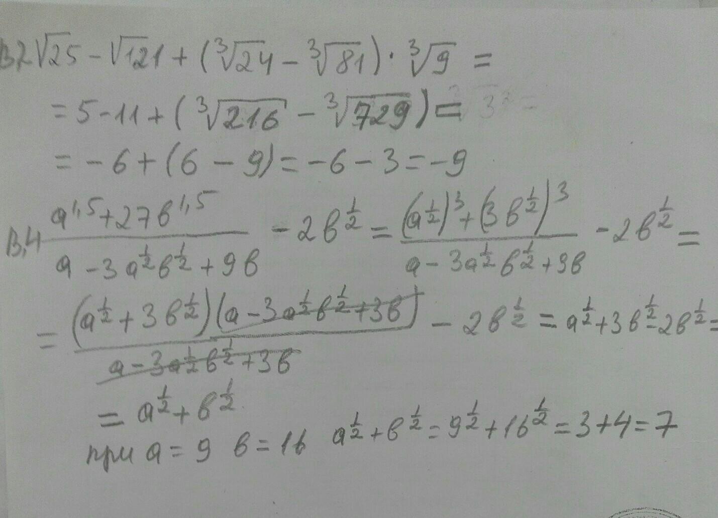
ответы на фотографии…………

Приложения:

rokujine: спасибо, а В1 где?
Вас заинтересует