• Предмет: Математика
  • Автор: frash279
  • Вопрос задан 8 лет назад

Найти указанные пределы:
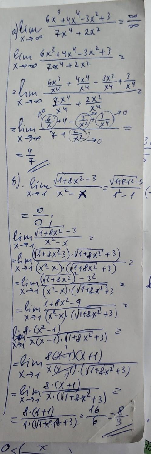
a) lim┬(x→∞)⁡〖((6x^3+4x^4-3x^2+3)/(7x^4+2x^2 ))^ 〗
d) 〖lim┬(x→1) (√(1+8x^2 )-3)/(x^2-x)〗⁡
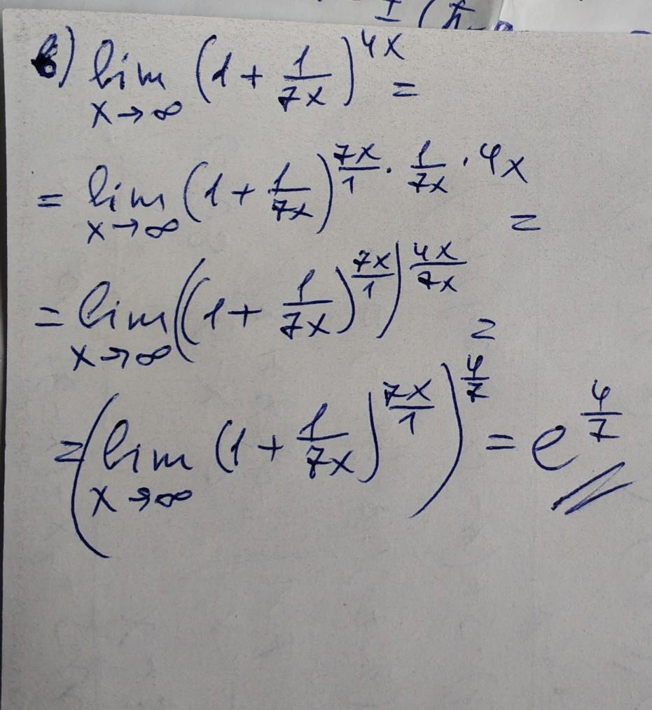
c) lim┬(x→∞)⁡〖(1+1/7x)^4x 〗

Ответы

Ответ дал: kirichekov
1

Ответ:

а). =4/7

б). =8/3

в). =е^(4/7)

Пошаговое объяснение:

решение во вложении ( два фото)

Приложения:
Вас заинтересует