• Предмет: Математика
  • Автор: chto1443
  • Вопрос задан 8 лет назад

ПОЖАЛУЙСТА! СРОЧНО!
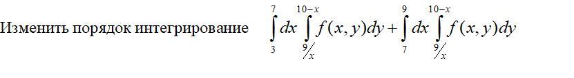
Изменить порядок интегрирования

Приложения:

Ответы

Ответ дал: alexlar30
1

Ответ:

Пошаговое объяснение:

См. на листиках

Приложения:
Вас заинтересует