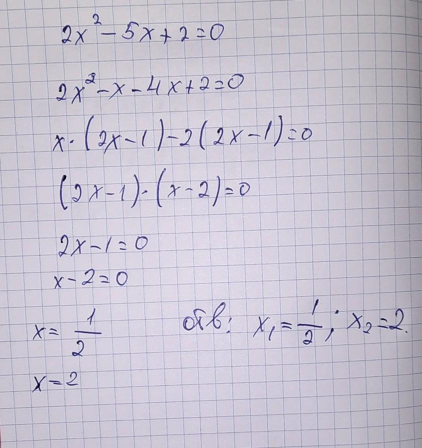
Решите пожалуйста уравнение : 2x²-5x+2=0. Кто первый ответит, тому дам ЛО !!!!!!!!
Аноним:
ЛО - лучший ответ ?
Ответы
Ответ дал:
6
Ответ:
/////////.........…........//////////
Мне ЛО не нужен )))))
Приложения:

Ответ дал:
12
Ответ:
...............
Объяснение:
удачи)<3
Приложения:

Вас заинтересует
2 года назад
2 года назад
3 года назад
3 года назад
8 лет назад
8 лет назад
9 лет назад