• Предмет: Математика
  • Автор: on501809
  • Вопрос задан 8 лет назад

ещё раз пожалуйста!!!!!!!!!!!!!!!!!!!!!!!!!!!!!!!!!!!!!!!!!!!!!!!!!!!!!!!!!!!!!!!!!!!!!!!!!!!!!!!!

Приложения:

Аноним: Щоб визначити шлях S(t), необхiдно знайти (обчислити) iнтеграл в межах вiд 0 до 10 даноi функцiональноi залежностi. Тобто визначити первiсну.
Аноним: Найдите. Получите то же самое))
Аноним: Хоть и написано "математика", в первую очередь это физика, т.к. переменные не х и у, а имеющие смысл V, S, t.
on501809: это матиматика задание из коледжа
Аноним: Це задача по темi: математика, визначений iнтеграл, фiзичний змiст первiсноi.
on501809: Індивідуальна робота на тему «Інтеграл та його застосування»
Аноним: Ну так, це воно. Як раз розв'язання ви i повиннi показати за допомогою iнтеграла. Як записати, я думаю, ви знаэте.
Аноним: Я додала свiтлину там же ваше друге питання. Гляньте.
Аноним: Або вже внизу свiтлину автор допису розмiстив.

Ответы

Ответ дал: Аноним
1

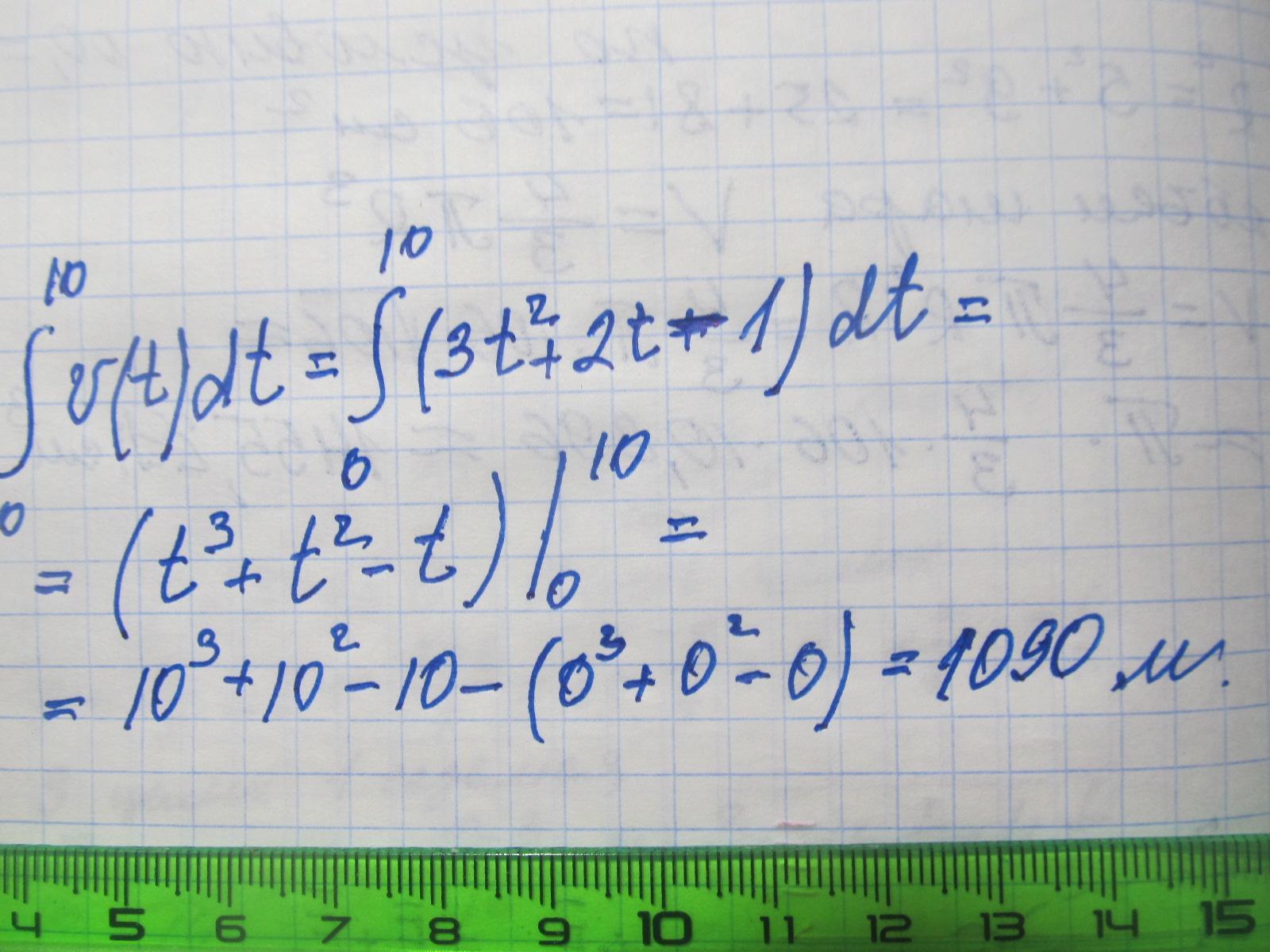
V(t)=S'(t)

V=3t² + 2t - 1

S(t)=t³ + t² - t + C, но С - начальная координата, при перемещении не учитывается, только в уравнении движения.

При t=10 c

S(10)=1000 + 100 - 10=1090 м.  Это ответ.

Приложения:

Аноним: Так лучше?
on501809: да спасибо
Аноним: Теперь воно.
Аноним: Для "матиматика задание из коледжа" подойдет?
Аноним: Сейчас бы на летнем трамвайчике проехаться))
Аноним: Программа ничего не выкладывает вовремя. Пишешь, когда давно ответили. Каждый раз менять страницу нужно(((
Вас заинтересует