Ответы
Ответ дал:
0
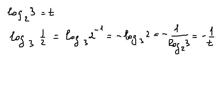
Решениеееееееееееееееееееееее
Приложения:

Ответ дал:
0
Спасибо огромное!=)))Большое спасибо)
Ответ дал:
0
1/2 log 3 3^5 = 5/2 log 3 3=5/2 = 2,5
Вас заинтересует
2 года назад
2 года назад
8 лет назад
8 лет назад
10 лет назад
10 лет назад