• Предмет: Алгебра
  • Автор: studiozylenox
  • Вопрос задан 8 лет назад

(x-3)(x+5)=4 как ето надо решит

Ответы

Ответ дал: Пеппер
0

Объяснение:

(x-3)(x+5)=4

х²-3х+5х-15-4=0

х²+2х-19=0

х=(-2±√(4+76))/2=(-2±√80)/2=(-2±4√5)/2=-1±2√5

х=-1+2√5

х=-1-2√5


afet74: В ответе -1+2✓5
Ответ дал: afet74
0

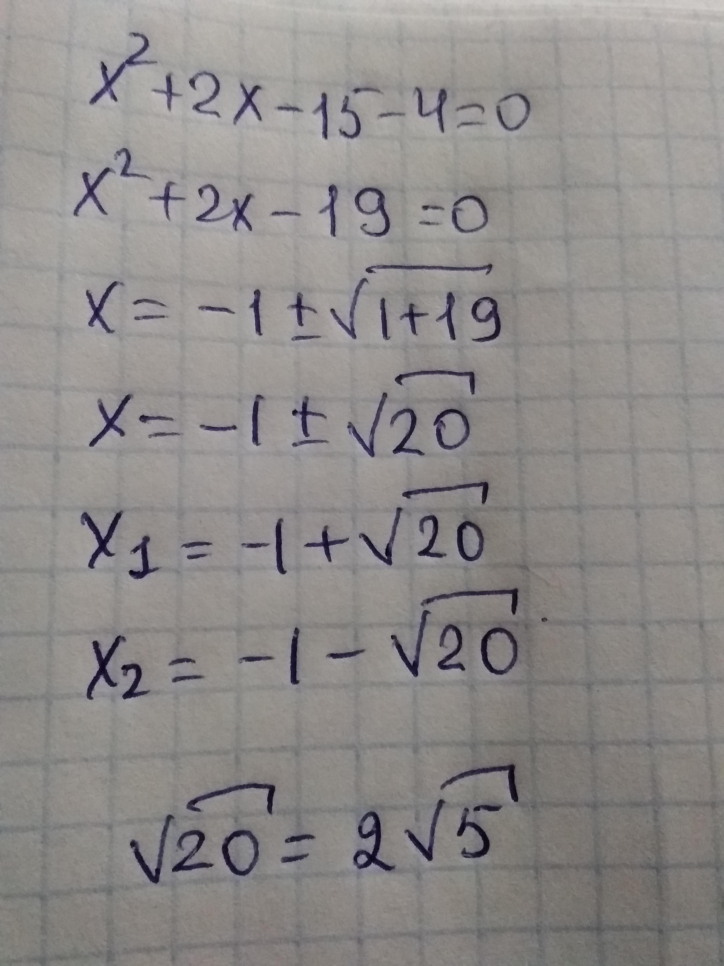
Ответ:

-1+2✓5;

-1-2✓5

Объяснение:на фото

Приложения:
Вас заинтересует