• Предмет: Алгебра
  • Автор: Eslizzza
  • Вопрос задан 8 лет назад

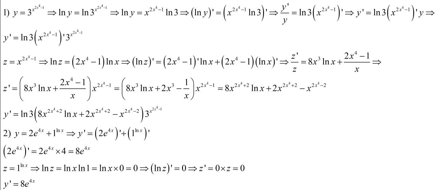
Найдите производные функции
А) y=3^x^(2x^4-1)
Б) y=2e^4x+1^lnx

Ответы

Ответ дал: palilov243659
2

Ответ:

Объяснение:

///////////////////////////////////////////////

Приложения:
Вас заинтересует