• Предмет: Алгебра
  • Автор: kopi0kopi
  • Вопрос задан 8 лет назад

помогите пожалуйста ✒✒✒✒

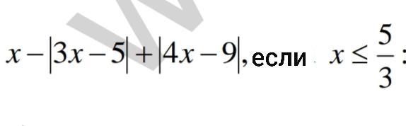
Приложения:

Ответы

Ответ дал: dobra888
0

Ответ: - 6x + 14 .

Объяснение:

Якщо х ≤ 5/3 , то x - | 3x - 5 | + | 4x - 9 | = x - ( 3x - 5 ) - ( 4x - 9 ) = x - 3x + 5 - 4x + 9 =

= - 6x + 14 .

Вас заинтересует