• Предмет: Алгебра
  • Автор: elisafur
  • Вопрос задан 8 лет назад

Какой самый легкий способ разложить степени, чтобы не запутаться, а то я пытаюсь по-разному и путаюсь

Приложения:

Ответы

Ответ дал: palilov243659
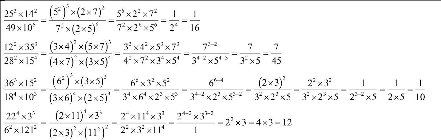
1

Ответ:

Объяснение:

........................................

Приложения:
Вас заинтересует