Помогите пожалуйста!!!!!!!!!!!!!!!!!!!!!!!!Срочно надо!!!
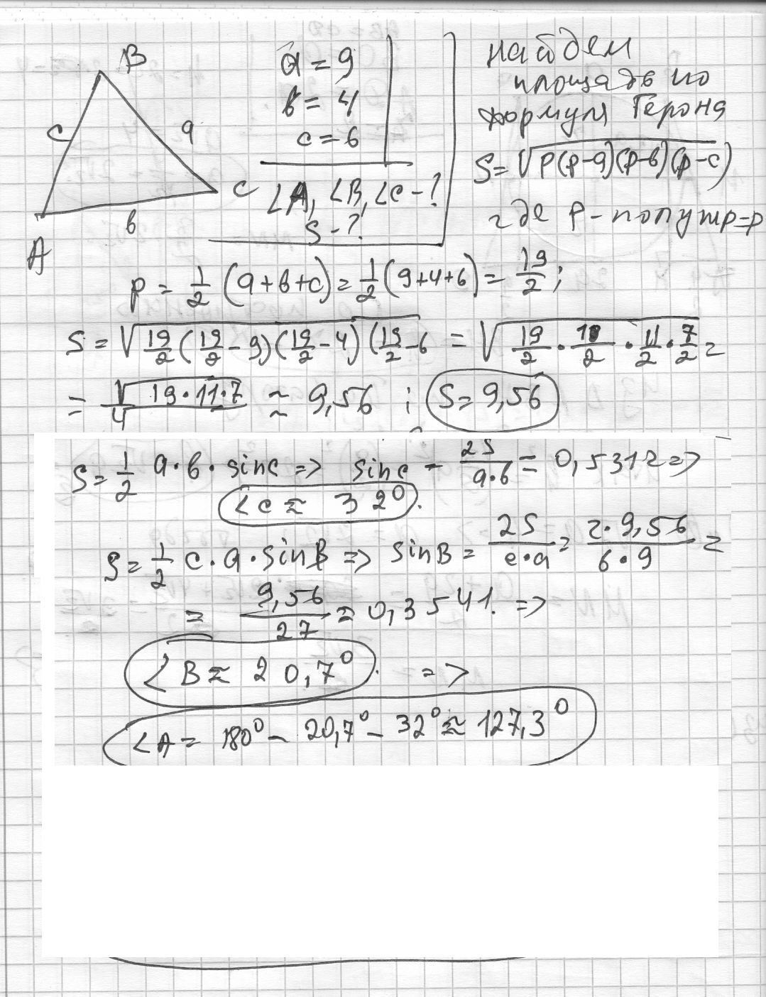
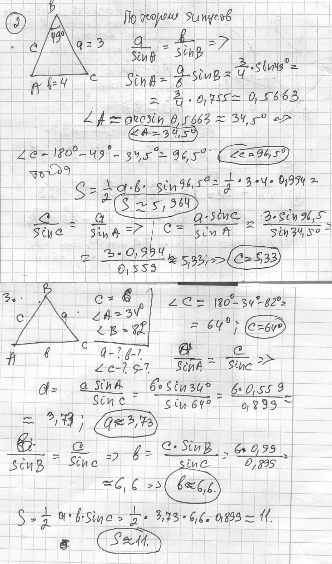
Решите треугольники и найдите их площади:
1)B треугольнике ABC a=9, b=4, c=6
2) B треугольнике ABC a=3, b=4, угол B=49 градусов
3) В треугольнике ABC с=6, угол А=34 градуса, угол В= 82 градуса
Ответы
Ответ дал:
0
Решить треугольник - это найти все неизвестные стороны и углы.
Приложения:


Вас заинтересует
2 года назад
8 лет назад
10 лет назад