Ответы
Ответ дал:
0
Решение под буковкой Е
Приложения:
Ответ дал:
0
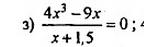
1) 4x³-9x/x+1,5=0
x(4x²-9)/x+1,5=0
x=0 или 4x²-9=0
x²=2,5
x1=√2,5
x2=-√2,5
x≠-1,5
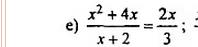
2) x²+4x/x+2=2x/3
3x²+12x-2x²-4x/3x+6=0
x²+8x/3x+6=0
x(x+8)=0
x=0 или x+8=0
x=-8
3x+6≠0
3x≠-6
x≠-2
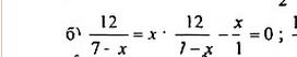
3) 12/7-x=x*12/7-x -x/1=0
12/7-x=12x/7-x -x/1=0
12-5x-x²/7-x=0
D=25-4*(-1)*12=25+48=73
x1=5-√73/-2=-3,5/-2=1,75
x2=5+√73/-2=13,5/-2=-6,75
7-x≠0
x≠7
x(4x²-9)/x+1,5=0
x=0 или 4x²-9=0
x²=2,5
x1=√2,5
x2=-√2,5
x≠-1,5
2) x²+4x/x+2=2x/3
3x²+12x-2x²-4x/3x+6=0
x²+8x/3x+6=0
x(x+8)=0
x=0 или x+8=0
x=-8
3x+6≠0
3x≠-6
x≠-2
3) 12/7-x=x*12/7-x -x/1=0
12/7-x=12x/7-x -x/1=0
12-5x-x²/7-x=0
D=25-4*(-1)*12=25+48=73
x1=5-√73/-2=-3,5/-2=1,75
x2=5+√73/-2=13,5/-2=-6,75
7-x≠0
x≠7
Приложения:
Ответ дал:
0
gj
Ответ дал:
0
Спасибо)
Вас заинтересует
3 года назад
3 года назад
11 лет назад
11 лет назад