• Предмет: Математика
  • Автор: password161parol
  • Вопрос задан 8 лет назад

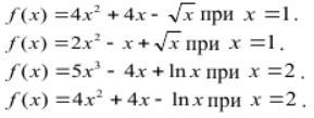
Найдите значение производной функции

Приложения:

Ответы

Ответ дал: NNNLLL54
0

Ответ:

1)\ \ f(x)=4x^2+4x-\sqrt{x}\ \ ,\ \ \ f'(x)=8x+4-\dfrac{1}{2\sqrt{x}}\\\\x=1:\ \ f'(1)=8+4-0,5=11,5\\\\\\2)\ \ f(x)=2x^2-x+\sqrt{x}\ \ ,\ \ \ f'(x)=4x-1+\dfrac{1}{2\sqrt{x}}\\\\f'(1)=4-1+0,5=3,5\\\\\\3)\ \ f(x)=5x^2-4x+lnx\ \ ,\ \ \ f'(x)=10x-4+\dfrac{1}{x}\\\\f'(2)=20-4+0,5=16,5\\\\\\4)\ \ f(x)=4x^2+4x-lnx\ \ ,\ \ \ f'(x)=8x+4-\dfrac{1}{x}\\\\f'(2)=16+4-0,5=19,5

Вас заинтересует