• Предмет: Алгебра
  • Автор: d8052000
  • Вопрос задан 8 лет назад

Помогите решить этот уравнение срочно:

Приложения:

Ответы

Ответ дал: mmb1
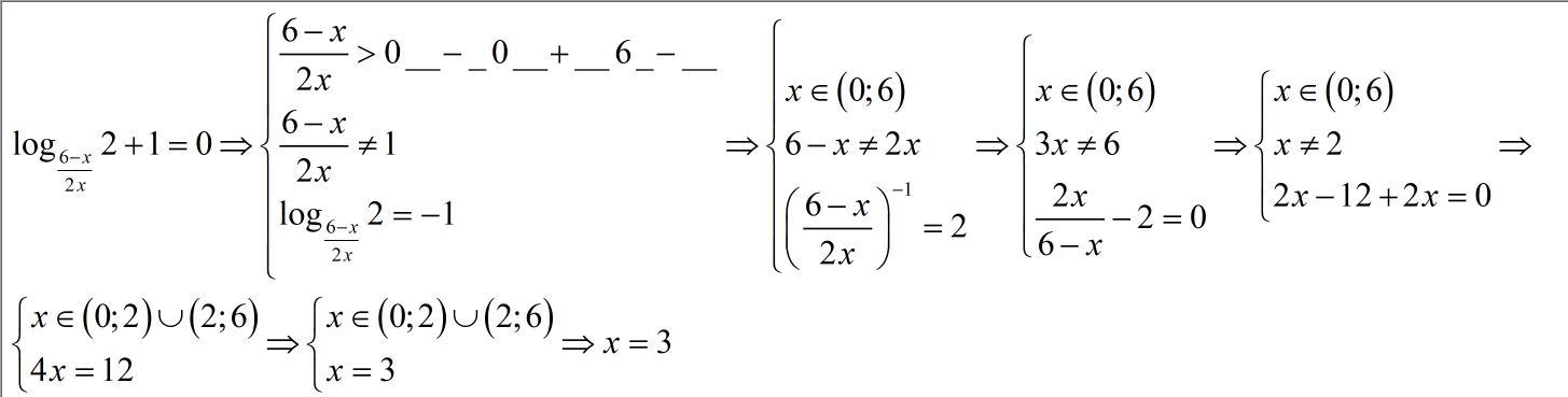
1

log((6 - x)/2x) 2 + 1 = 0

log((6 - x)/2x) 2 = -1

((6 - x)/2x)^(-1) = 2

2x/(6 - x) = 2

2x = 12 - 2x

4x = 12

x = 3

проверка log ((6 - 3)/6) 2 + 1 = log (1/2) 2 + 1 = -1 + 1 = 0 да


Аноним: помогите пожалуйста
Ответ дал: palilov243659
1

Ответ:

x=3

Объяснение:

///////////////////////

Приложения:

Аноним: помогите решить
Вас заинтересует