• Предмет: Алгебра
  • Автор: vityamath
  • Вопрос задан 8 лет назад

решите !!!!!!!!!!!!!!!!!!!

Приложения:

yaroslavtimoha29: ого а в якому ти класі
vityamath: не важно, вы решите сначала ...

Ответы

Ответ дал: MatemaT123
3

Ответ:

5

Объяснение:

\dfrac{(\sqrt{a^{2}+a\sqrt{a^{2}-b^{2}}}-\sqrt{a^{2}-a\sqrt{a^{2}-b^{2}}})^{2}}{2\sqrt{a^{3}b}}: \bigg (\sqrt{\dfrac{a}{b}}+\sqrt{\dfrac{b}{a}}-2 \bigg )=

=\dfrac{a^{2}+a\sqrt{a^{2}-b^{2}}-2\sqrt{(a^{2}+a\sqrt{a^{2}-b^{2}})(a^{2}-a\sqrt{a^{2}-b^{2}})}+a^{2}-a\sqrt{a^{2}-b^{2}}}{2\sqrt{a^{3}b}}:

: \bigg (\sqrt{\dfrac{a}{b}}+\sqrt{\dfrac{b}{a}}-2} \bigg )=\dfrac{2a^{2}-2\sqrt{a^{4}-a^{2}(a^{2}-b^{2})}}{2\sqrt{a^{3}b}}: \bigg (\sqrt{\dfrac{a}{b}}+\sqrt{\dfrac{b}{a}}-2} \bigg )=

=\dfrac{2a^{2}-2\sqrt{a^{4}-a^{4}+a^{2}b^{2}}}{2\sqrt{a^{3}b}}: \bigg (\sqrt{\dfrac{a}{b}}+\sqrt{\dfrac{b}{a}}-2} \bigg )=\dfrac{2a^{2}-2\sqrt{a^{2}b^{2}}}{2\sqrt{a^{3}b}}:

: \bigg (\sqrt{\dfrac{a}{b}}+\sqrt{\dfrac{b}{a}}-2} \bigg )=\dfrac{a^{2}-|ab|}{\sqrt{a^{3}b}}: \bigg (\sqrt{\dfrac{a}{b}}+\sqrt{\dfrac{b}{a}}-2} \bigg );

a=9, \ b=4: \ \dfrac{9^{2}-|9 \cdot 4|}{\sqrt{9^{3} \cdot 4}}: \bigg (\sqrt{\dfrac{9}{4}}+\sqrt{\dfrac{4}{9}}-2 \bigg )=\dfrac{81-36}{\sqrt{9^{2} \cdot 36}}: \bigg (\dfrac{3}{2}+\dfrac{2}{3}-2 \bigg )=

=\dfrac{45}{9 \cdot 6}: \bigg (\dfrac{9}{6}+\dfrac{4}{6}-\dfrac{12}{6} \bigg )=\dfrac{5}{6}: \dfrac{1}{6}=\dfrac{5}{6} \cdot 6=5;


Artsounds: Разве тут ответ не : 5 ?
Artsounds: я два раза все пересчитывал и у меня вышел ответ 5, а не 7
tamarabernukho: Ошибка начинается с третьей строчки
Artsounds: Я конечно не обижаюсь и не нагнитаю, но мне просто интересно, почему "лучшиц ответ" бвл дан рользлваьелю, которвй при первом своем ответе дал невернвй ответ
vityamath: я на рандом выбрал
Artsounds: хм
Ответ дал: Artsounds
4

Объяснение:

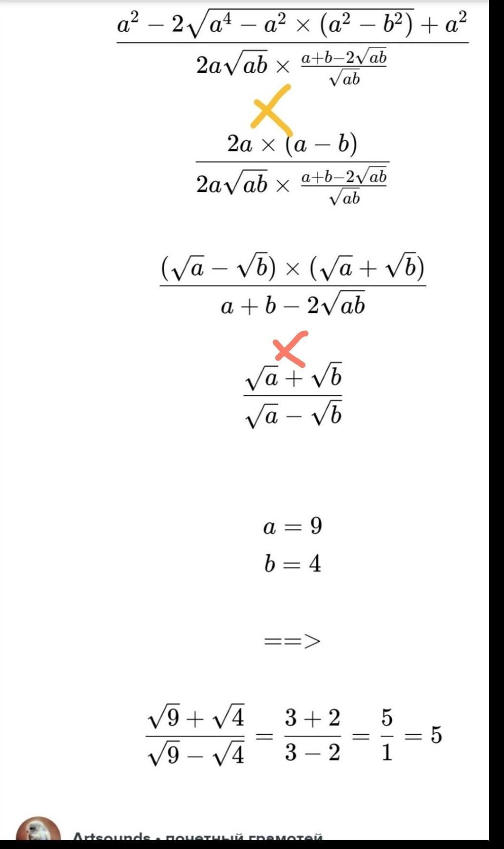
  \\ \frac{( \sqrt{a {}^{2} + a \sqrt{a {}^{2}  - b {}^{2} }   } -  \sqrt{a {}^{2} - a \sqrt{a {}^{2}  - b {}^{2} }  } {) {}^{2} }   }{2 \sqrt{a {}^{3} b} }  \div ( \sqrt{ \frac{a}{b} }  +  \sqrt{ \frac{b}{a}  }  - 2) \\  \\  \frac{( \sqrt{a {}^{2} + a \sqrt{a {}^{2}  - b {}^{2} }   }  -  \sqrt{a { }^{2} - a \sqrt{a {}^{2} - b {}^{2}  }  } ) {}^{2} }{2a \sqrt{ab} \times ( \sqrt{ \frac{a}{b} }  +  \sqrt{ \frac{b}{a} }  - 2) }  \\  \\  \frac{a {}^{2}  + a \sqrt{a {}^{2}  - b {}^{2} }  - 2 \sqrt{(a {}^{2}  + a \sqrt{a {}^{2} - b {}^{2}  } ) \times (a {}^{2} - a \sqrt{a {}^{2}  - b {}^{2} }  )}    + a {}^{2}  - a \sqrt{a {}^{2} - b {}^{2}  }   }{2a \sqrt{ab}  \times (  \frac{ \sqrt{a} }{ \sqrt{b} }  +  \frac{ \sqrt{b} }{ \sqrt{a} }  - 2)}  \\  \\  \frac{a {}^{2}  - 2 \sqrt{a {}^{4}  - a {}^{2} \times (a {}^{2}  - b {}^{2} ) } + a {}^{2}  }{2a \sqrt{ab} \times  \frac{a + b - 2 \sqrt{ab} }{ \sqrt{ab} }  }   \\  \\   \frac{2a \times (a - b)}{2a \sqrt{ab}  \times  \frac{a + b - 2 \sqrt{ab} }{ \sqrt{ab} } }  \\  \\  \frac{( \sqrt{a}  -  \sqrt{b} ) \times ( \sqrt{a}  +  \sqrt{b} )}{a + b - 2 \sqrt{ab} }  \\  \\  \frac{ \sqrt{a} +  \sqrt{b}  }{ \sqrt{a} -  \sqrt{b}  }  \\  \\  \\ a = 9 \\ b = 4 \\  \\  =  =  >  \\  \\  \frac{ \sqrt{9}  +  \sqrt{4} }{ \sqrt{9} -  \sqrt{4}  }  =  \frac{3 + 2}{3 - 2}  =  \frac{5}{1}  = 5

Приложения:

tamarabernukho: Ваш ответ - лучший
Artsounds: Спасибо, Тамара ❤︎
Вас заинтересует