• Предмет: Алгебра
  • Автор: ruslanalimov2020
  • Вопрос задан 8 лет назад

Розв'язати систему методом додавання.​

Приложения:

Ningguang: лол,это значит методом сложения??))
ruslanalimov2020: Добавления))
ruslanalimov2020: ну да сложентя
Ningguang: ))

Ответы

Ответ дал: Ningguang
11

_____________________^^

Приложения:
Ответ дал: NNNLLL54
3

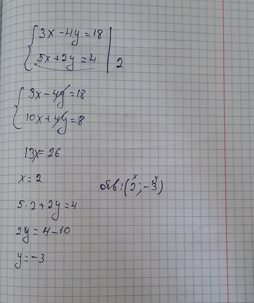
Ответ:

\left\{\begin{array}{l}3x-4y=18\\5x+2y=4\ |\cdot 2\end{array}\right\  \ \left\{\begin{array}{l}3x-4y=18\\10x+4y=8\end{array}\right\ \oplus \ \left\{\begin{array}{l}13x=26\\2y=4-5x\end{array}\right\ \ \left\{\begin{array}{l}x=2\\2y=-6\end{array}\right\\\\\\\left\{\begin{array}{l}x=2\\y=-3\end{array}\right\ \  \ \ Otvet:\ (\ 2\ ;-3\ )\ .

Вас заинтересует