Ответы
Ответ дал:
0
задание 3
я конечно не уверена , что правильно. Но может и правильно.
Если что то не понятно, я разъясню :D
я конечно не уверена , что правильно. Но может и правильно.
Если что то не понятно, я разъясню :D
Приложения:

Ответ дал:
0
B4 280*0.15=42
450*0.1=45
215*0.2=43
ответ:45
В4 -3x-7=2^5
-3x-7=32
-3x=32+7
-3x=39
x= -13
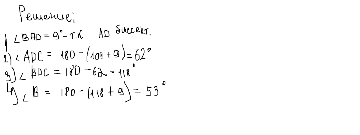
B6 угол BAC=9+9=18
угол В=180-(18+109)=53
450*0.1=45
215*0.2=43
ответ:45
В4 -3x-7=2^5
-3x-7=32
-3x=32+7
-3x=39
x= -13
B6 угол BAC=9+9=18
угол В=180-(18+109)=53
Приложения:

Вас заинтересует
2 года назад
2 года назад
8 лет назад
10 лет назад
10 лет назад
10 лет назад