• Предмет: Математика
  • Автор: mishan9971718
  • Вопрос задан 8 лет назад

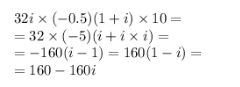
Вычислите
32i(–0,5 – 0,5i)^10

Ответы

Ответ дал: zalina200926
0

Ответ:

надеюсь помогла

Пошаговое объяснение:

я в математике неочень шарю,но я надеюсь что это правильное решение,удачи

Приложения:
Вас заинтересует