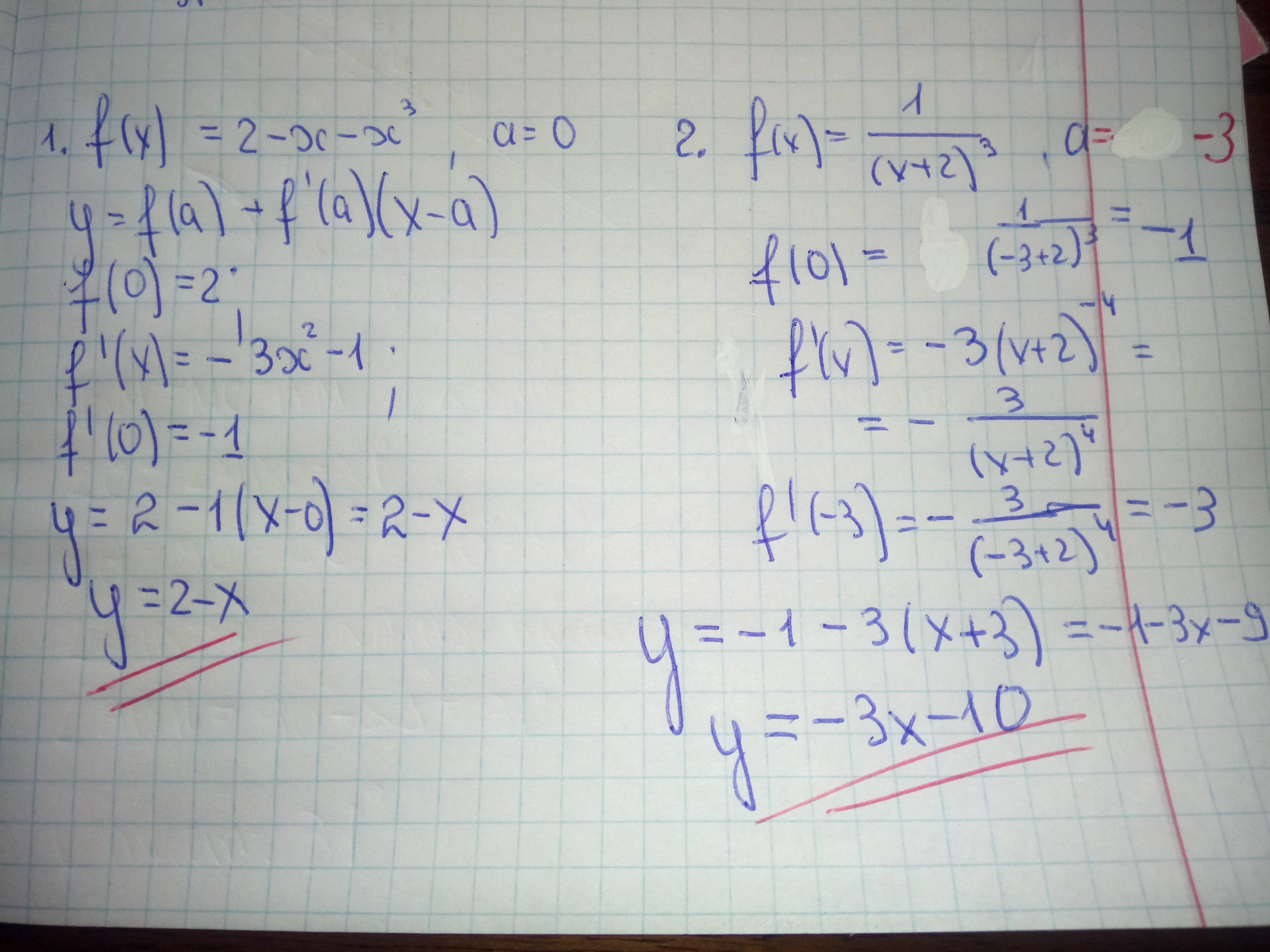
Составьте уравнение касательной к графику функции.
Решите,пожалуйста, на листочке или где сможете. Главное,чтобы учитель подумал ,что я решил это сам!
Приложения:

Аноним:
Во 2) а=?????
Ответы
Ответ дал:
1
Решение задания прилагаю
Приложения:

Вас заинтересует
2 года назад
2 года назад
3 года назад
3 года назад
8 лет назад
8 лет назад
9 лет назад