• Предмет: Физика
  • Автор: ivan7neobisnimoe
  • Вопрос задан 8 лет назад

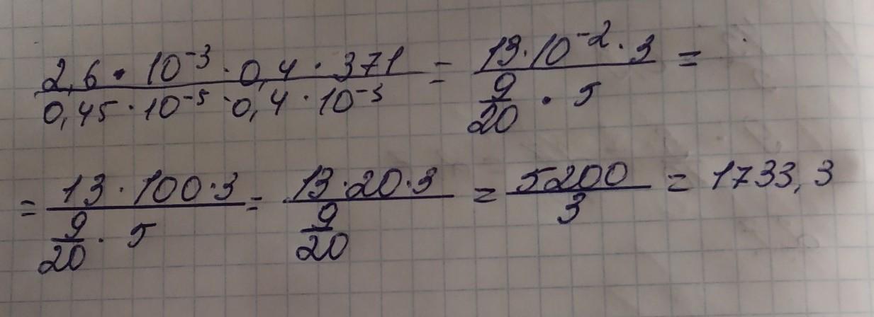
Должна получиться молярная масса

Приложения:

StudentWhichNotSleep: извините, ты уверен в том , что составил уравнение правильно?
StudentWhichNotSleep: если я правильно понял ты хотел узнать молекулярную массу, а единственное уравнение которое я вспомнил это pV=mRT/M => M=mRT/pV

Ответы

Ответ дал: comfycomfy826
1

Ответ:

ответ.....................

Приложения:
Вас заинтересует