• Предмет: Алгебра
  • Автор: ramazanovadilara88
  • Вопрос задан 8 лет назад

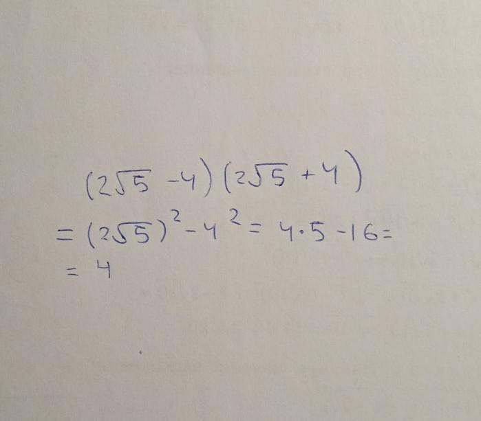
Найди значение выражение (2√5-4) (2√5+4)

Ответы

Ответ дал: Universalka
1

(2\sqrt{5}-4)(2\sqrt{5}+4)=(2\sqrt{5})^{2}-4^{2}=20-16=\boxed4

Ответ дал: okawaiikoto2859
1

Объяснение:

пользуясь формулой (a - b) (a + b) = a^2 - b^2

Приложения:
Вас заинтересует