• Предмет: Математика
  • Автор: Bronzor1
  • Вопрос задан 8 лет назад

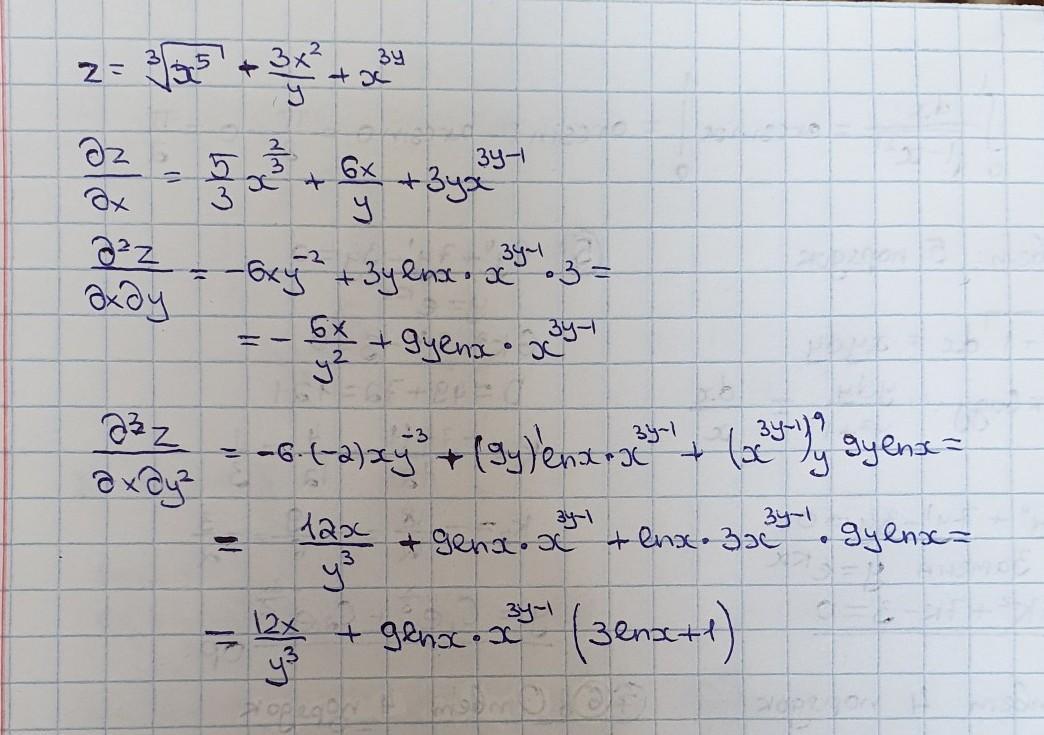
Найти частную производную d^3z/(dxdy^2)

Приложения:

Ответы

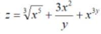
Ответ дал: Miroslava227
1

Ответ:

решение на фотографии.

Приложения:

Bronzor1: d^z/(dxdy) забыли +3x^(3y-1)
Вас заинтересует