• Предмет: Геометрия
  • Автор: annmi2002
  • Вопрос задан 8 лет назад

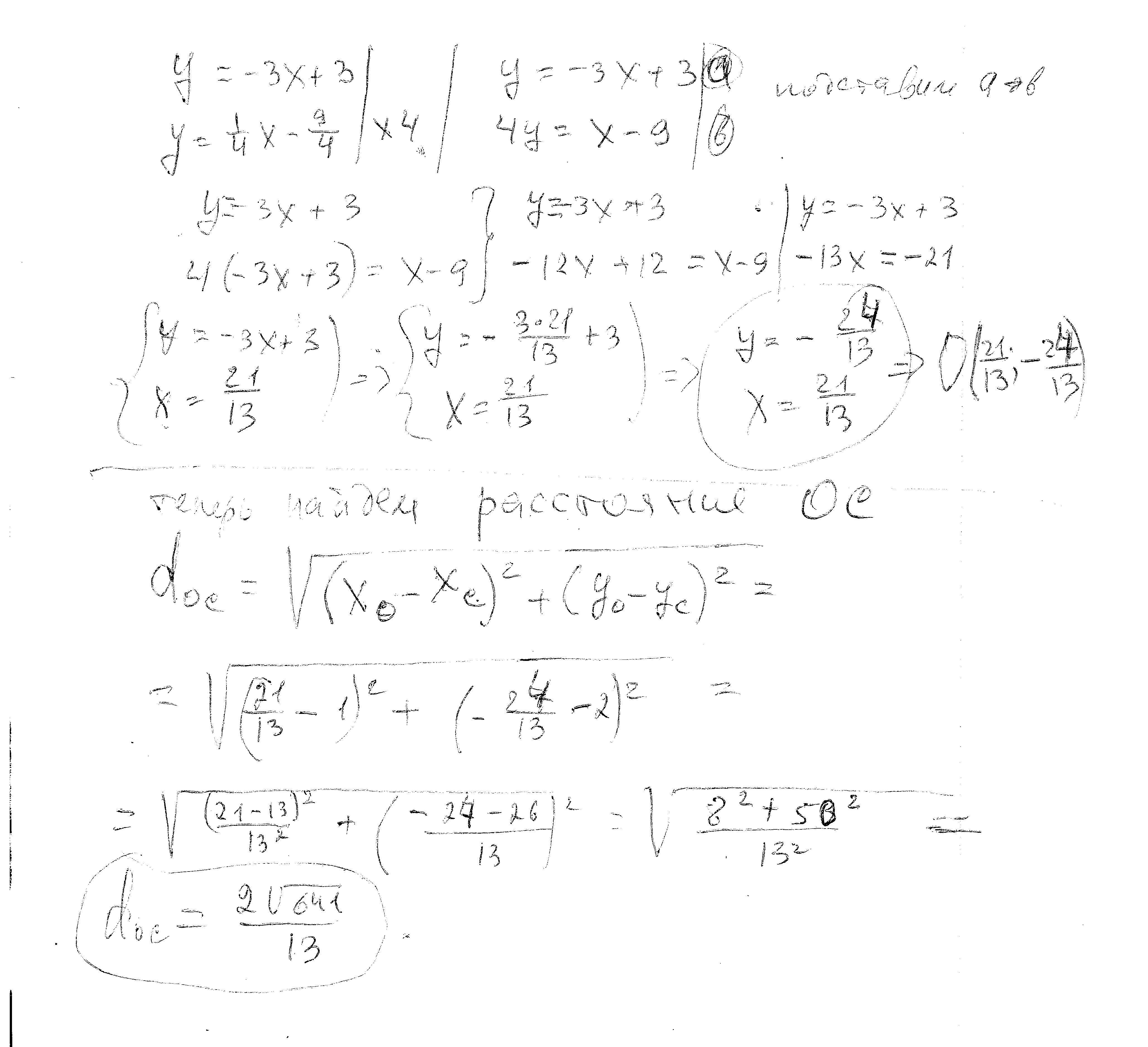
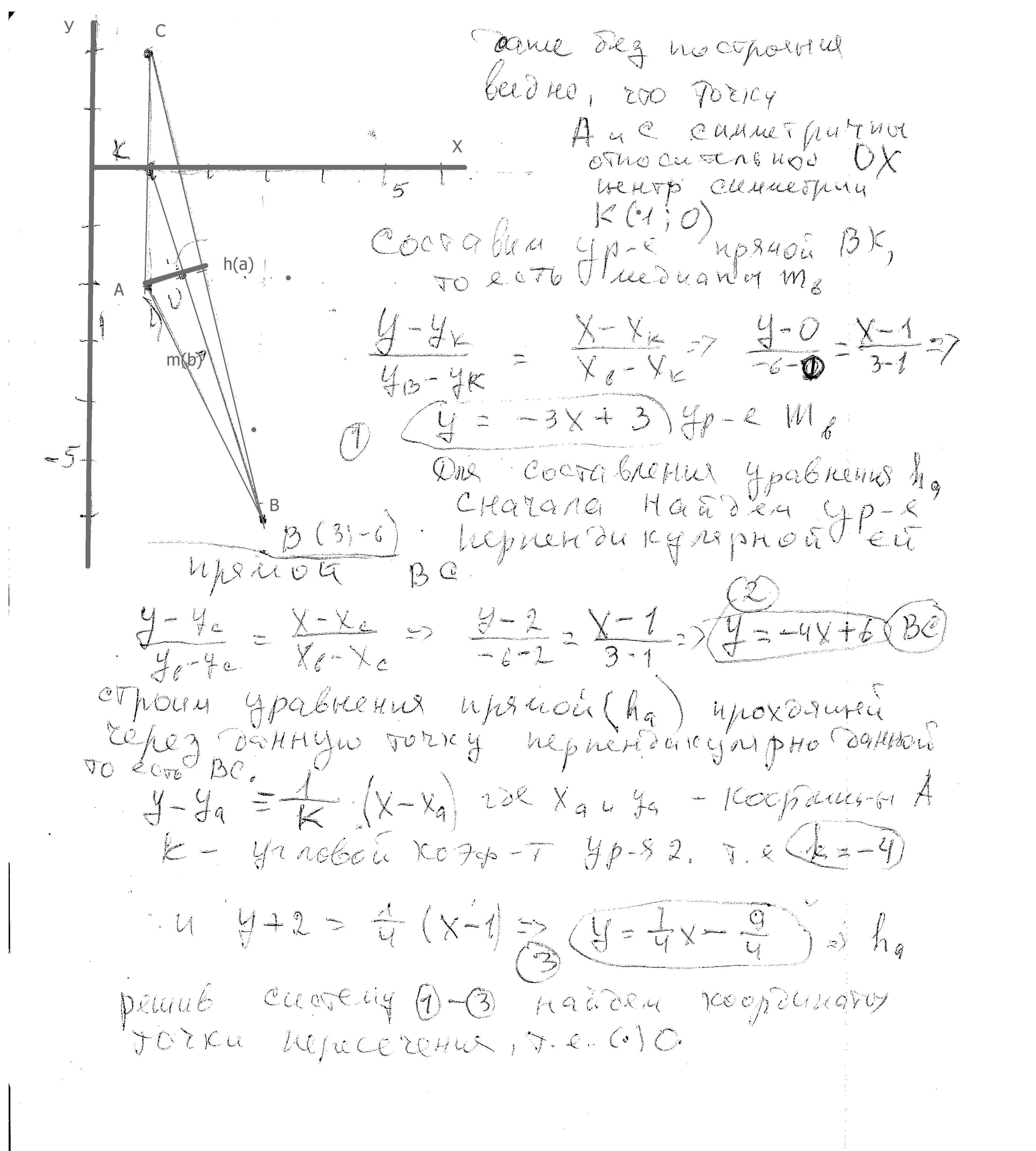
Дано три точки на плоскости. A (1,-2) B (3,-6) C (1,2). Найти расстояние от точки пересечения O высоты hA (A маленькая) и медианы mB (B маленькая) до вершины С

Ответы

Ответ дал: ужнеужели
2

Ответ:

Объяснение:

во вложении

Приложения:
Вас заинтересует