• Предмет: Математика
  • Автор: maman741852963
  • Вопрос задан 8 лет назад

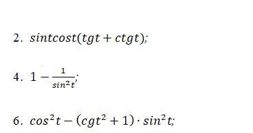
Упростите выражения.
Решите,пожалуйста, на листочке или где сможете. Главное,чтобы учитель подумал ,что я решил это сам!

Приложения:

Ответы

Ответ дал: Аноним
1

Решение задания прилагаю

Приложения:

maman741852963: ОГРОМНОЕ ВАМ СПАСИБО!!!!
Вас заинтересует