• Предмет: Математика
  • Автор: Ruuuuuslanaaa
  • Вопрос задан 8 лет назад

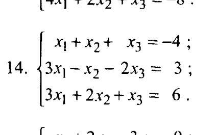
ПОЖАЛУЙСТА! (вышмат) матричным методом и по формуле Крамера
И по возможности объясните

Приложения:

Ответы

Ответ дал: partityra
1

Ответ:

x1 = -5, y = 20, z = -19

Пошаговое объяснение:

Решение расписано на картинке. Нужно найти главный определитель и затем 3 дополнительных.

Приложения:
Вас заинтересует