• Предмет: Алгебра
  • Автор: anitsirkavokad49
  • Вопрос задан 8 лет назад

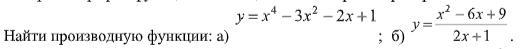
Найти производную функции:

Приложения:

Ответы

Ответ дал: volkvolkovich22
0

a) y'=4x³-6x-2

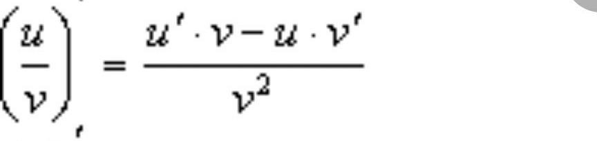
b) формула производной дроби на картинке

y'=(2x-6)(2x+1)-2(x²-6x+9) /(2x+1)²=4x²+2x-12x-6-2x²+12x-18 /(2x+1)²= 4x²-2x²+2x-12x+12x-6-18 /(2x+1)²= 2x²+2x-24/ (2x+1)²

Приложения:
Вас заинтересует