Помогите пожалуйста по мат анализу 60 Баллов!
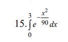
В задаче 15 вычислить определенный интеграл с помощью
разложения подынтегральной функции в степенной ряд. Обеспечить абсолютную погрешность
h =0,001 . 60 БАЛЛОВ даю !!!!
Приложения:

Ответы
Ответ дал:
1
Ответ:
2,903
Пошаговое объяснение:
Решение на картинке.
Приложения:

vagenleytnervlad:
Очень благодарен.
Вас заинтересует
2 года назад
2 года назад
3 года назад
3 года назад
8 лет назад
9 лет назад