• Предмет: Алгебра
  • Автор: Ewwas
  • Вопрос задан 11 лет назад

Помогите, пожалуйста, решить! Или хотя бы с чего начать!

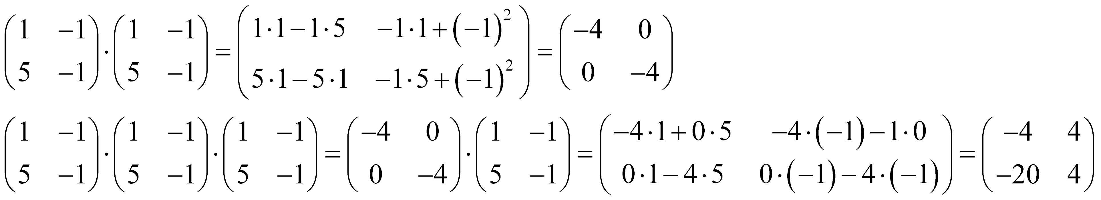
Дана матрица А и многочлен f(х) = 2 х3 - 3х2 + 5. Вычислите f(А)  A=1  -1

                                                                                                              5  -1

Ответы

Ответ дал: VeryClever
0

Вот подробное решение этой задачи. Два файла, в одном сумма, в другом, как перемножались матрицы:

Приложения:
Вас заинтересует