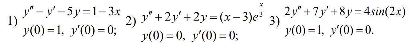
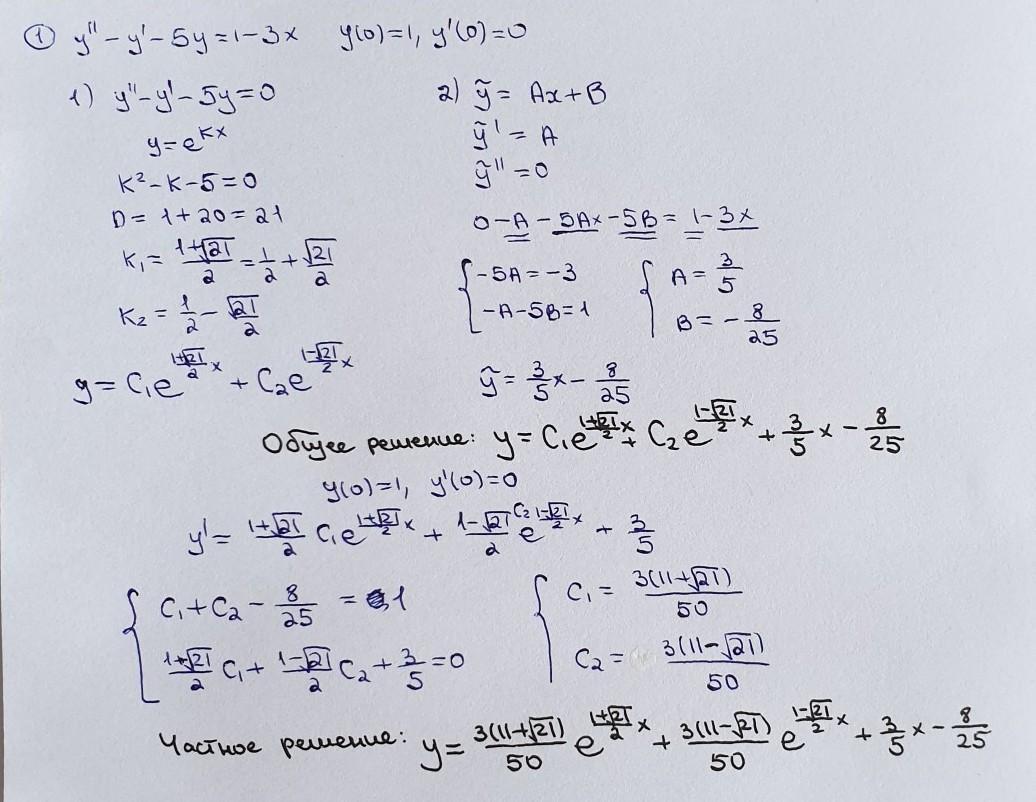
Найти решение дифференциальных уравнений, которые удовлетворяют Начальные условия:
Буду благодарен даже за решение одного
Приложения:

Ответы
Ответ дал:
1
Ответ:
решение на фотографиях
Приложения:



manelica:
спасибо с поклоном ❤️
Вас заинтересует
2 года назад
3 года назад
3 года назад
8 лет назад
8 лет назад
9 лет назад