Даю 20 балов, за срочность><
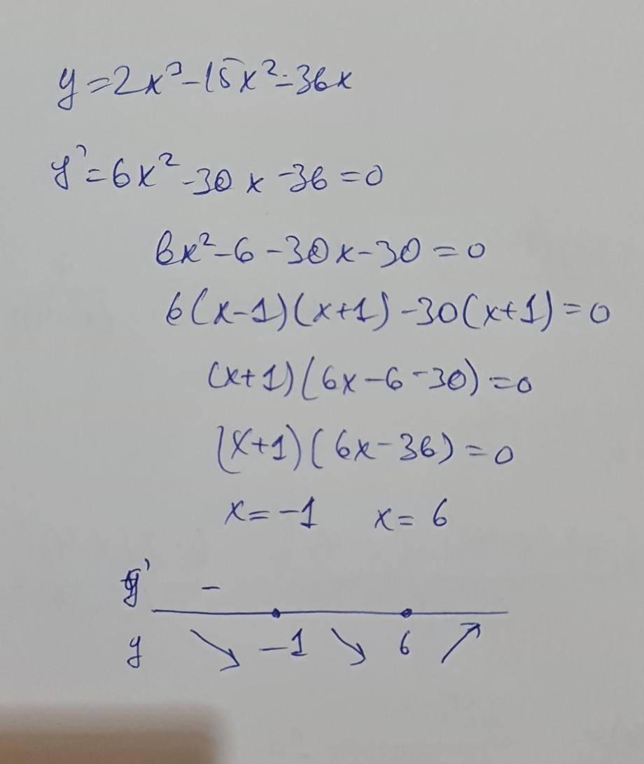
Для функции y=2x³-15x²-36x найди промежутки выпуклости, точки перегиба.
Ответы
Ответ дал:
1
Пошаговое объяснение:
......................
Приложения:

Ответ дал:
0
Ответ: Решение на рисунке
Пошаговое объяснение:
Приложения:

Вас заинтересует
2 года назад
2 года назад
3 года назад
3 года назад
8 лет назад
9 лет назад