• Предмет: Математика
  • Автор: kalinaolya99
  • Вопрос задан 8 лет назад

Помогите пожалуйста...!!!
Нужно решить неравенства​

Приложения:

Ответы

Ответ дал: sdnss
2

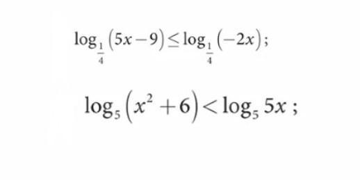
1)

log_\frac{1}{4}(5x-9)\leq log_\frac{1}{4}(-2x)\\

ОДЗ:

\left \{ {{5x-9>0} \atop {-2x>0}} \right.  \left \{ {{x>\frac{9}{5} } \atop {x<0}} \right.   x ∈ ∅

Ответ: x ∈ ∅

2)

log_5(x^2+6)<log_55x

ОДЗ:

\left \{ {{x^2+6>0} \atop {5x>0}} \right.   x>0

log_f_(_x_)g(x) при f(x) >1 монотонно возрастает, значит мы имеем право опустить логарифмы без изменения знака неравенства.

x^2+6<5x\\x^2-5x+6<0\\(x-2)(x-3)<0 (интервал приложил)

Ответ x ∈ (2 ; 3)

Приложения:
Вас заинтересует