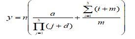
Решить данный пример написав программу решения на языке программирования Python. Cрочно пожалуйста! Дам 200 баллов!

Приложения:

Ответы

Ответ дал: mirageKZ
0

Ответ:

from tkinter import *

from math import*

root = Tk()

root.title("Задание 2")

root.geometry("550x250")

def summa():

   n=EntryN.get()

   n=int(n)

   a=EntryA.get()

   a=int(a)

   d=EntryD.get()

   d=int(d)

   m=EntryM.get()

   m=int(m)

   s=0

   for i in range(1,4):

      s+=i + m

   pr=1

   for j in range(1,4):

      pr*=j+d

   res=n*(a/pr+s/m)    

   EntryS.configure(text='y = {}'.format(res))

   #EntryS.delete(0,END)

   #EntryS.insert(0,res)

   

Label(root, width=15, text=" n =",font="Times 14").grid(row=1, column=5, sticky=W)

Label(root, width=15, text=" a =",font="Times 14").grid(row=2, column=5, sticky=W)

Label(root, width=15, text=" d =",font="Times 14").grid(row=3, column=5, sticky=W)

Label(root, width=15, text=" m =",font="Times 14").grid(row=4, column=5, sticky=W)

EntryN = Entry(root, width=15, font="Times 14")

EntryA = Entry(root, width=15, font="Times 14")

EntryD = Entry(root, width=15, font="Times 14")

EntryM = Entry(root, width=15, font="Times 14")

#EntryS = Entry(root, width=25, font="Times 14")

EntryS = Label(root)

EntryS.grid(column=5, row=5)  

EntryN.grid(row=1, column=6, sticky=E)

EntryA.grid(row=2, column=6, sticky=E)

EntryD.grid(row=3, column=6, sticky=E)

EntryM.grid(row=4, column=6, sticky=E)

# файл с формулой, если отличается - укажите свой

img = PhotoImage(file="d:/f1.gif")

label = Label(root, image=img)

label.image_ref = img

label.grid(column=9, row=0)  

but = Button(root, text="Вывести сумму", width=20, font="Times 10", command=summa)

but.grid(row=5, column=9, sticky=E)

root.mainloop()    

Вас заинтересует