Решить данный пример написав программу решения на языке программирования Python. Cрочно пожалуйста! Дам 100 баллов!
Приложения:

Ответы
Ответ дал:
0
Ответ:
Объяснение:
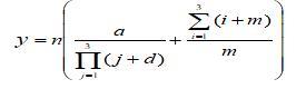
n = float(input('Введите n: '))
a = float(input('Введите a: '))
d = float(input('Введите d: '))
m = float(input('Введите m: '))
P = 1
for j in range(1,4):
P *= j + d
S = 0
for i in range(1,4):
S += i + m
y = n*(a/P + S/m)
print('y равно: ',y)
Omywaifu:
слушай, у меня нужно это вывести ещё в окне через tkinter
from math import*
root = Tk()
root.title("Задание 2")
root. geometry ("545x187")
def summa():
n = EntryN.get()
n = int(n)
a = EntryA.get()
a = int(a)
d = EntryD.get()
d = int(d)
m = EntryM.get()
m = int(m)
p = 1
for j in range(1,4):
p*=j+d
s = 0
for i in range(1,4):
s+=i+m
y=n*(a/p+s/m)
EntryS.delete(0, END)
EntryS.insert(0,y)
Вас заинтересует
3 года назад
3 года назад
8 лет назад
8 лет назад
9 лет назад