Решить данный пример написав программу решения на языке программирования Python. Cрочно пожалуйста!
Приложения:
Ответы
Ответ дал:
0
Ответ:
Python
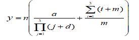
a, m, n, d = map (int, input().split(' '))
sm=0
for i in range (1,4):
sm+=i+m
pr=1
for i in range (1,4):
pr*=i+d
print('y=', n*(a/pr+sm/m))
----------результат-------------------------
1 2 3 4
y= 18.014285714285712
>>>
Omywaifu:
Мне отчёт через час сдавать
Я уже 6 часов не могу понять как это сделать
выкинь функцию и всё
А у меня продолжения кода не вместилось
Label(root, width=15, text=" n =",font="Times 14").grid(row=0, column=5, sticky=W)
Label(root, width=15, text=" a =",font="Times 14").grid(row=1, column=5, sticky=W)
Label(root, width=15, text=" d =",font="Times 14").grid(row=2, column=5, sticky=W)
Label(root, width=15, text=" m =",font="Times 14").grid(row=3, column=5, sticky=W)
Label(root, width=15, text=" a =",font="Times 14").grid(row=1, column=5, sticky=W)
Label(root, width=15, text=" d =",font="Times 14").grid(row=2, column=5, sticky=W)
Label(root, width=15, text=" m =",font="Times 14").grid(row=3, column=5, sticky=W)
EntryN = Entry(root, width=15, font="Times 14")
EntryA = Entry(root, width=15, font="Times 14")
EntryD = Entry(root, width=15, font="Times 14")
EntryM = Entry(root, width=15, font="Times 14")
EntryS = Entry(root, width=33, font="Times 14")
EntryA = Entry(root, width=15, font="Times 14")
EntryD = Entry(root, width=15, font="Times 14")
EntryM = Entry(root, width=15, font="Times 14")
EntryS = Entry(root, width=33, font="Times 14")
EntryN.grid(row=0, column=6, sticky=E)
EntryA.grid(row=1, column=6, sticky=E)
EntryD.grid(row=2, column=6, sticky=E)
EntryM.grid(row=3, column=6, sticky=E)
EntryS.grid(row=4, columnspan=8)
but = Button(root, text="Вывести сумму", width=20, font="Times 10", command=summa)
but.grid(row=4, column=9, sticky=E)
root.mainloop()
EntryA.grid(row=1, column=6, sticky=E)
EntryD.grid(row=2, column=6, sticky=E)
EntryM.grid(row=3, column=6, sticky=E)
EntryS.grid(row=4, columnspan=8)
but = Button(root, text="Вывести сумму", width=20, font="Times 10", command=summa)
but.grid(row=4, column=9, sticky=E)
root.mainloop()
Примерно так
Надо просто, чтобы он окно программы выводил отдельно черещ tkinter
что то я запутался в твоих строчках. Первоначально задание как в топике, но нужно сделать в tkinter?
Вас заинтересует
2 года назад
2 года назад
3 года назад
3 года назад
9 лет назад
10 лет назад
10 лет назад