• Предмет: Математика
  • Автор: ternovskiya
  • Вопрос задан 8 лет назад

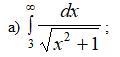
Вычислить несобственный интеграл или определить его расходимость

Приложения:

Ответы

Ответ дал: partityra
0

Ответ:

Интеграл расходится

Пошаговое объяснение:

Решение на картинке

Приложения:
Вас заинтересует