Ответы
Ответ дал:
1
Ответ:
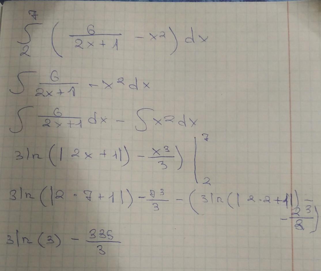
Решение на фотографии.
Объяснение:
Если можно отметь как лучший, сильно поможешь мне))
Приложения:

Вас заинтересует
2 года назад
8 лет назад