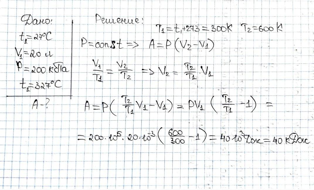
При температуре 27° С газ занимал объём 20л. Какую работу расширяясь совершит газ при давлении 200кПа, если его нагрели до 327 °С?
Ответы
Ответ дал:
1
Ответ:
Газ совершает работу при изобарном процессе (P=const)
Приложения:

Вас заинтересует
2 года назад
2 года назад
3 года назад
3 года назад
8 лет назад
9 лет назад