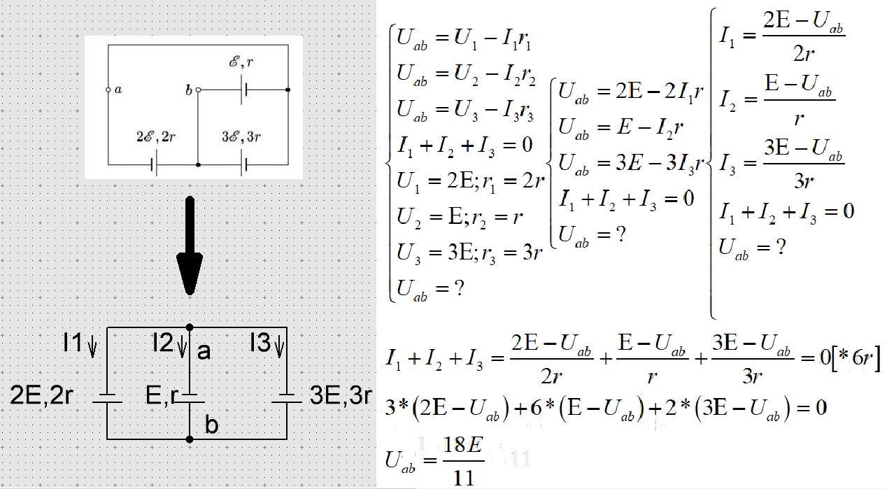
Определите разность потенциалов между точками a и b в схеме, изображенной на рисунке. Параметры схемы указаны.
Приложения:
Ответы
Ответ дал:
0
Ответ:
ε*18/11
Объяснение:
во вложении
Приложения:
Вас заинтересует
2 года назад
2 года назад
3 года назад
3 года назад
9 лет назад
9 лет назад
10 лет назад