• Предмет: Математика
  • Автор: fastranner
  • Вопрос задан 8 лет назад

Исследовать ряд на сходимость:

Приложения:

bearcab: оба сходятся

Ответы

Ответ дал: xerex21
1

Ответ:

г) сходится

д) сходится

Пошаговое объяснение:

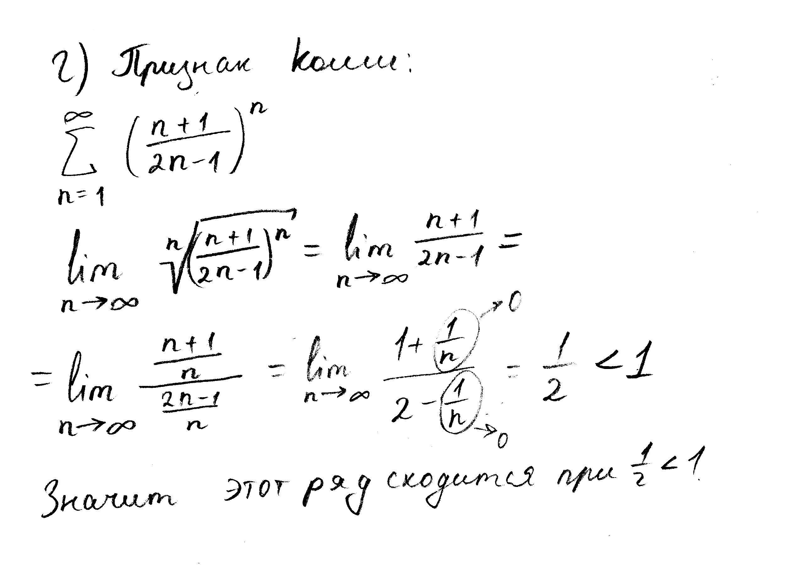
г)

\displaystyle{ \sum_{n=1}^\infty\left(\frac{n+1}{2n-1}\right)^n}

Используем радикальный признак Коши:

\displaystyle{\lim_{n \to \infty} \sqrt[n]{a_n}} = \lim_{n \to \infty} \sqrt[n]{\left(\frac{n+1}{2n-1}\right)^n}} =  \lim_{n \to \infty} \frac{n+1}{2n-1}} = \lim_{n \to \infty} \frac{1+\frac{1}{n}}{2-\frac{1}{n}} = \frac{1}{2} < 1}

Так как предел меньше 1, то ряд сходится.

д)

\displaystyle{ \sum_{n=2}^\infty\frac{1}{n\ln^2n}}

f(x) = \cfrac{1}{x\ln^2x}

f(x) - определена и непрерывна на [2; +\infty]

f(x) - монотонно не возрастает:

\displaystyle{\forall x_1 < x_2 : f(x_1) \geq f(x_2) \rightarrow \frac{1}{x_1\ln^2x_1} \geq \frac{1}{x_2\ln^2x_2}}

По интегральному признаку:

\displaystyle{\int\limits^\infty_2 {f(x)} \, dx  = \int\limits^\infty_2 {\frac{1}{x\ln^2x}} \, dx =\left[ t=\ln x, \ dt = \frac{1}{x}dx, \ dx = xdt \right] = \int\limits^\infty_{\ln 2} {\frac{1}{xt^2}} \, xdt =\displaystyle{ =\int\limits^\infty_{\ln 2} {\frac{1}{t^2}} \, dt = \left-\frac{1}{3t^3}\right|^{\infty}_\ln2} = \lim_{t \to \infty}-\frac{1}{3t^3} + \frac{1}{3\ln^32} = \frac{1}{3\ln^32}

Так как интеграл сходится, то ряд сходится.


fastranner: Спасибо!
xerex21: Всё бы ничего, но первообразную я взял неправильно.
Ответ дал: bearcab
1

Ответ:

Оба ряда сходятся

Пошаговое объяснение:

Решение в приложении

Приложения:

fastranner: Спасибо!
Вас заинтересует