• Предмет: Алгебра
  • Автор: evgeniy8705
  • Вопрос задан 8 лет назад

Помогите пожалуйста прояснить один момент в примере.

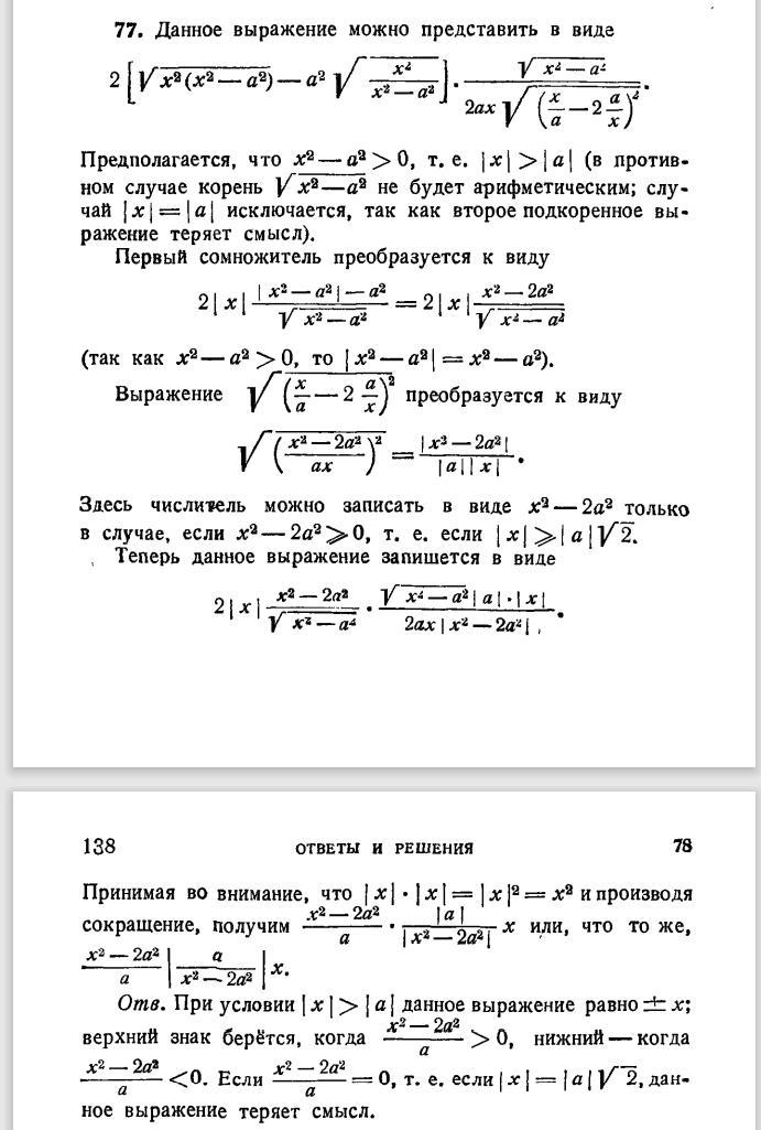
На первом скриншоте дан сам пример.
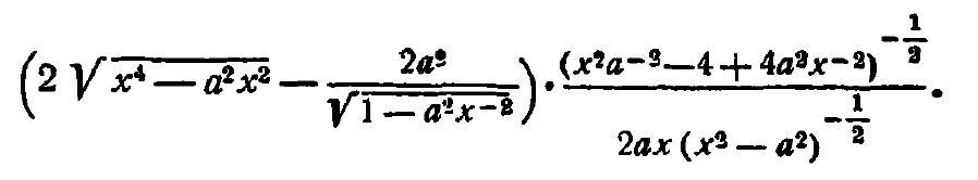
На втором же предоставлено решение и разъяснение.

Так вот, можете более простым языком прояснить момент с написанием ответа. Что это за условие |x| > |a| и почему именно оно. И как потом считается ответ.
не совсем понятен этот момент.

С самим решением можно сказать разобрался, сложность возникает именно в этих модулях и условиях.

Приложения:

Simba2017: (x^2)^(1/2)=|x|

Ответы

Ответ дал: NNNLLL54
1

бьОтвет:

\sqrt{\dfrac{x^2}{x^2-a^2}}\ \ \ \Rightarrow \ \ \ \dfrac{x^2}{x^2-a^2}\geq 0

Дробь в числителе имеет неотрицательное выражение при любом "х" , то есть   x^2\geq 0\ ,\ \ x\in R\ .  Тогда, чтобы вся дробь была неотрицательной, надо, чтобы знаменатель был положительным ( нулю равняться он не может), то есть необходимо, чтобы выполнялось неравенство:

x^2-a^2>0\ \ \ \Rightarrow \ \ \ x^2>a^2\ .

Чтобы определить , каким  должен быть "х" , надо извлечь квадратный корень из обеих частей неравенства. Известно правило извлечения корней из квадрата какого-либо выражения:  \sqrt{x^2}=|x|\ ,\ \ \sqrt{a^2}=|a|  .

Поэтому   \sqrt{x^2}>\sqrt{a^2}\ \ \ \Rightarrow \ \ \ |x|>|a|\ \ \ \Rightarrow \ \ \ \left[\begin{array}{l}x>|a|\\x<-|a|\end{array}\right\ .

Вас заинтересует