• Предмет: Алгебра
  • Автор: fjsjdkcldllsjd
  • Вопрос задан 8 лет назад

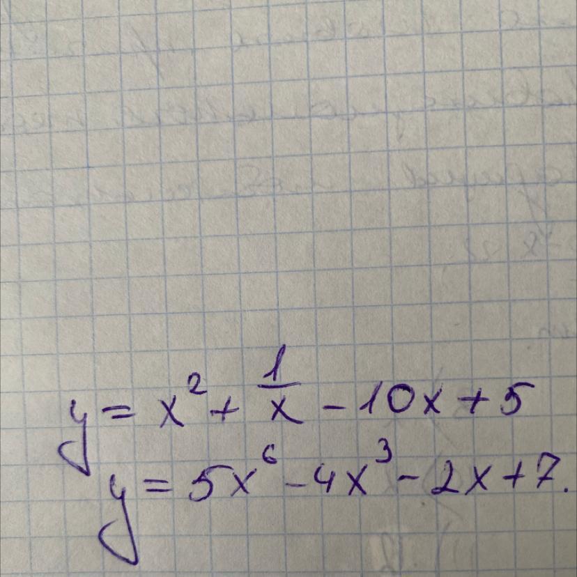
y=x^2+1/x-10x+5
y=5x^6-4x^3 -2x+7
Найти производные функций

Приложения:

Ответы

Ответ дал: bahytgulkabylainova
0

Ответ:

у'=2х-1/х^2-10

у'=30х^5-12х^2-2

Вас заинтересует