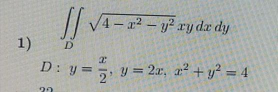
Найти двойной интеграл по области D, ограниченной указанными линиями. СРОЧНО, УМОЛЯЮ!
Приложения:

Ответы
Ответ дал:
1
Ответ:
Пошаговое объяснение:
Вот такое получается, если не ошиблась.
Приложения:



Ymnik200000:
Ответ должен был получиться 32/25..
Вас заинтересует
2 года назад
2 года назад
3 года назад
8 лет назад
9 лет назад
9 лет назад