• Предмет: Алгебра
  • Автор: madinabat
  • Вопрос задан 8 лет назад

Решите уравнения.................

Приложения:

Ответы

Ответ дал: DilmurodKhasanov
0

Объяснение:

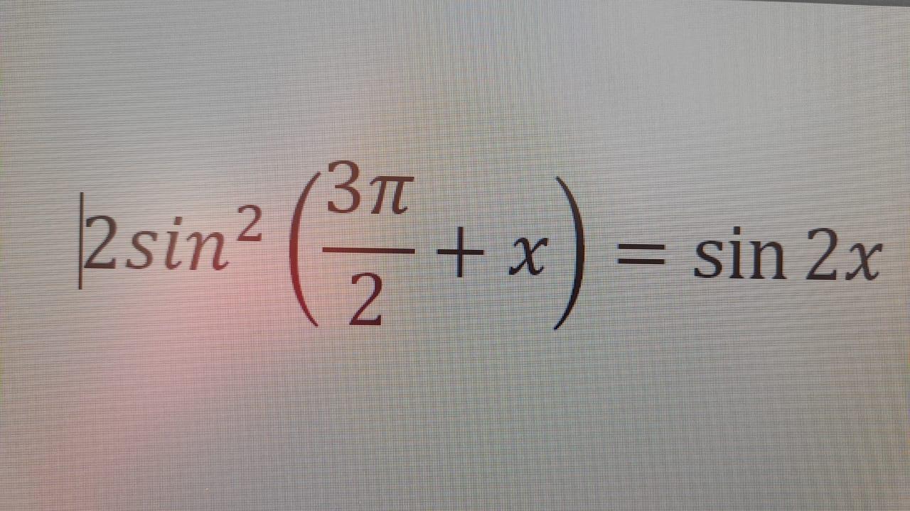
2sin^2(\frac{3\pi}{2}+x)=sin2x

2*\frac{1-cos(2(\frac{3\pi}{2}+x)}{2}=sin2x

1-cos(2*\frac{3\pi}{2}+2x)=sin2x\\

1-cos(3\pi+2x)=sin2x\\

1-(-cos2x)=sin2x\\

sin2x-cos2x=1

-\sqrt{2}cos(\frac{\pi}{4}+2x)=1

cos(\frac{\pi}{4}+2x)=-\frac{1}{\sqrt{2}}

π/4+2x=3π/4+2πn, n∈Z                           π/4+2x=-3π/4+2πk, k∈Z

x=π/4+πn, n∈Z                                                     x=-π/2+πk, k∈Z

Ответ: x=π/4+πn, n∈Z; x=-π/2+πk, k∈Z

Использованные формулы:

sin²α = 1/2*(1-cos2α)

cos(3π+α) = -cosα

sinα-cosα = -√2*cos(π/4+α)

Вас заинтересует