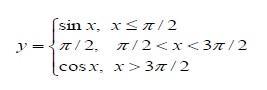
Протабулировать эту функцию на промежутке [0, 7] с шагом 0,2 и построить график этой функции.
Приложения:

Ответы
Ответ дал:
0
Ответ:
import math
import matplotlib.pyplot as plt
x=-0.2
xl=[]
yl=[]
while x<=7:
x+=0.2
if x<=math.pi/2:
y=math.sin(x)
elif math.pi/2<x<3*math.pi/2:
y=math.pi/2
elif x>3*math.pi/2:
y=math.cos(x)
xl.append(x)
yl.append(y)
plt.plot(xl, yl)
plt.grid(True)
plt.show()
Вас заинтересует
2 года назад
3 года назад
8 лет назад
8 лет назад
9 лет назад